CAO GGZ in salarisschalen downloaden
Ontdek de salarisschalen voor functiegroep 10 in de GGZ CAO 2025-2026. Informatie over salarisniveau’s vanaf 1 januari 2025, met details van €2200 tot €2343. Lees meer op onze website.
Ontdek de salarisschalen voor functiegroep 10 in de GGZ CAO 2025-2026. Informatie over salarisniveau’s vanaf 1 januari 2025, met details van €2200 tot €2343. Lees meer op onze website.
Ontdek hoe de cao ziekenhuizen pensioengratificatie inclusiever kan worden gemaakt met initiatieven en pilots vanuit de StAZ. Lees over de plannen en toekomstige stappen in ons uitgebreide artikel.
Ontdek de leer-/arbeidsovereenkomst volgens de nieuwste Cao Huisartsenzorg en Cao Stichting Sociaal Fonds Huisartsenzorg. Begrijp de actuele richtlijnen en voorwaarden voor doktersassistenten in de huisartsenzorg.
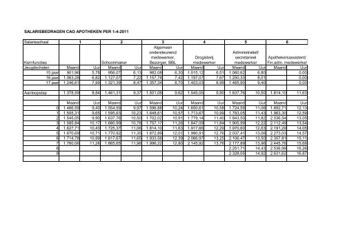
Ontdek de eenmalige uitkering in september 2025 voor apothekersassistenten: ontvang 59,3% van uw bruto maandsalaris, inclusief vakantiegeld. Zorg dat u optimaal profiteert van deze unieke kans.
Salarisschalen Cao Sociaal Werk: € 2.254 vanaf 1 juli 2025. Stijging naar € 2.303 in 2026. Blijf op de hoogte van verdere updates voor juli 2026. Ontdek meer hier.
Ontdek de 13e editie van de Cao UMC, bijgewerkt volgens het recente cao-akkoord. Blijf op de hoogte van de laatste afspraken en wijzigingen voor universitaire medische centra.
Ontdek de salarisstijgingen vanaf januari voor verschillende functiegroepen. Groep 2, trede 3 stijgt met 4,30%. Bekijk gedetailleerde informatie over hoe deze veranderingen jouw positie kunnen beïnvloeden.
Ontdek uw rechten op betaald verlof voor bijzondere gebeurtenissen en deelname aan publiekrechtelijke colleges volgens de ziekenhuis CAO. Lees meer over de voorwaarden en artikelen die van toepassing zijn.
Versterk uw positie op de arbeidsmarkt met ons vernieuwde en consistente loongebouw. Ontdek meer over de cao en onze ambities voor verbetering in de verpleeghuissector.
Ontdek hoe werkgevers in de schoonmaaksector een bijdrage in de kosten ontvangen volgens de CAO Schoonmaak- en Glazenwassersbedrijf. Verbeterde arbeidsvoorwaarden en financiële ondersteuning voor bedrijven.